Résoudre les équations trigonométriques suivantes.
-

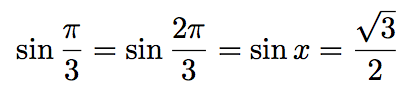
Or, on sait parfaitement que :

Donc :
D'où :
-

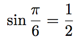
Or, on sait très bien que :
cos π = -cos π = 1 4 4 √2
Donc :
D'où :
-
sin (2x) = cos x
D'après une formule trigonométrique : sin (2x) = 2sin x cos x.
Donc :sin x = 2sin x cos x = cos x ⇔ 2sin x = 1 ⇔ sin x = 1/2
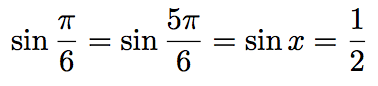
Or, on sait bien que :
Donc :
D'où :
-

Or, on sait bien que :

Donc :
D'où :



