Indice : 2X³ - 17X² + 7X + 8 = (X - 1)(2X² - 15X - 8).
Posons : sin x = X.
L'équation devient donc :
Il suffit de résoudre cette équation.
On remarque que x = 1 est une solution particulière de cette équation.
Donc :
Faisons la méthode du Δ pour trouver les racines du polynôme 2X² - 15X - 8.
D'où les racines :

Donc :
On a donc trois solutions : X = 1 ou X = 8 ou X = -1/2.
On revient au sinus, qui est compris entre -1 et 1, on garde donc les deux solutions suivantes : sin x = 1 ou sin x = -1/2.
Grâce au cercle trigonométrique et aux formules que l'on connait par coeur, on sait que :

Et que :

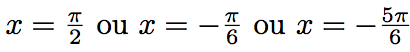
Donc :

Et :

D'ou :




