Donner la forme canonique des polynômes suivants :
-
P(x) = -x² + 3x - 1
On calcule le discriminant :
Δ = 9 - 4 × ( - 1) × (-1) = 9 - 4 = 5
On applique la formule du cours :
-
Q(x) = 3x² + 3x + 3
On calcule le discriminant :
Δ = 32 - 4 × 3 × 3 = 9 - 36 = - 25 < 0
Donc, on ne peut pas factoriser ce polynôme. -
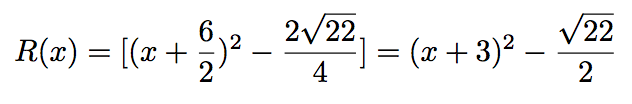
R(x) = x² + 6x - 13
R(x) = x2 + 6x - 13
On calcule le discriminant :Δ = 62 - 4 × 1 × (-13) = 36 + 52 = 88
On a : √Δ = √88 = √4 × 22 = 2√22.
On applique la formule du cours :



